Command-Column-Implementation
Jump to navigation
Jump to search
Command Column Design Constraints[edit]
- limitation = 20 characters length column length
Possibilities[edit]
- 1- auxiliary digit I/O outputs 1's | 0's ... quantity=7 - triggered at the beginning of the design profile segment
- 2- a file name -
- 3- command strings - make an extensible interface. Allow messages to be sent in & out.
Controller Driver Notes - Writing output state[edit]
- in order to use more than one output you must read and mask off the output bit register to prevent changing other bits
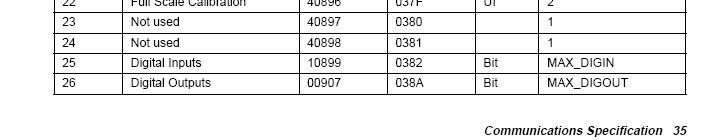
- MAXDIGOUT - is a constant = 35 so I assume the unused are available for digital I/O
- The address of the digital I/O registers


